■ 発表のポイント
? 青森県弘前市岩木地区の成人のうち、咬み合わせが良好な方を対象とした健康ビッグデータを用い、生体内カロテノイド量と歯周病の有病率との関連を解析しました。
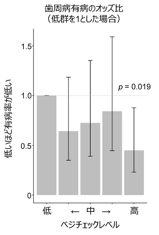
? ベジチェック(R)で測定された皮膚カロテノイドレベルが高い群では、歯周病の有病率が低いことが示されました。
? さらに血中の各カロテノイド濃度と歯周病との関連を解析した結果、ルテイン濃度およびリコピン濃度で有意な関連が認められました。
■ 研究の背景
歯の健康は生活の質(QOL)の維持に重要であり、循環器疾患や認知症の主要なリスク要因としても知られています。歯を失う原因として最も多いのが歯周病であり、自覚の有無を問わず、日本人成人の約半数が歯周病に罹患しているといわれています。歯周病のリスク因子の一つとして、口腔内細菌叢(口の中の細菌のバランス)の乱れが指摘されています。
これまでに同プロジェクトが保有する健康ビッグデータを活用した解析により、野菜摂取量が多い集団では良好な口腔内細菌叢状態であることを報告しています1)。その要因として、野菜に多く含まれるカロテノイドが強い抗酸化作用を有し、口腔内の炎症および細菌叢の乱れを抑制する可能性が考えられています。
以上のことから、カロテノイド摂取が歯周病予防に寄与する可能性が期待されています。しかし、皮膚や血中に含まれるカロテノイド量と歯周病との関連を網羅的に解析した研究や、その作用メカニズムに踏み込んだ研究は十分ではありませんでした。
■ 研究方法
2022年岩木健康増進プロジェクト健診の参加者のうち、咬み合わせ状態が良好な456名を解析対象としました。生体内のカロテノイド量は、皮膚カロテノイドレベルを測定できる「ベジチェック(R)」に加え、血液中の各カロテノイド濃度を測定することで評価しました。歯周病の有無は、歯周ポケットの深さを指標とし、4mm以上の方を歯周病と判定しました。
皮膚および血中のカロテノイドレベルは五分位に分類したうえで、年齢、性別、教育歴、喫煙・飲酒歴、食習慣、歯磨き習慣などの要因で調整し、歯周病の有無との関連をロジスティック回帰分析により解析しました。さらに、因果関係の推定に用いられるベイジアンネットワーク解析(*5)を実施し、年齢・性別・生活習慣・カロテノイドレベル・口腔内細菌叢・口腔状態の指標・歯周病の有無など、合計47変数から構成される因果構造を推定しました。
■ 研究結果
解析対象者の平均年齢は48.0歳であり、そのうち50.9%の方が歯周病に該当しました。
生体内カロテノイド量と歯周病との関連を解析した結果、皮膚カロテノイドレベルの低群(第1四分位、中央値3.7)と比較し、高群(第5四分位、中央値7.1)は歯周病の有病率が有意に低いことが明らかとなりました(図1)。また、血中の各カロテノイド濃度と歯周病との関連を解析した結果、ルテイン濃度とリコピン濃度の高群は歯周病の有病率が低いことが明らかとなりました(図2)。
ベイジアンネットワーク解析の結果から、生体内のカロテノイドが口腔内炎症と口腔内細菌叢の乱れを抑制することで歯周病を予防する可能性が示唆されました。

皮膚カロテノイドレベルと歯周病有病率との関連。皮膚カロテノイドレベルの低群をオッズ比1としたときの各群のオッズ比(*6)。エラーバーは95%信頼区間。

血中カロテノイド濃度と歯周病有病率との関連。各血中カロテノイド濃度の低群(第1五分位)をオッズ比1としたときの高群(第5五分位)のオッズ比。点が推定値、エラーバーが95%信頼区間。*は有意な関連を示した項目。
■ 掲載論文情報
? 論文名: Blood and skin carotenoid levels are inversely associated with the prevalence of periodontal diseases in populations with normal occlusion: a cross-sectional analysis from the Iwaki Health Promotion Project
? 掲載誌: Nutrition Journal
? 著者: Toshitaka Yamauchi, Naoko Waki, Shigenori Suzuki, Kenji Fujimoto, Tatsuya Mikami, Koichi Murashita, Shigeyuki Nakaji, Ken Itoh, Yoshinori Tamada, Yoshihiro Tamura, Wataru Kobayashi
? DOI: 10.1186/s12937-026-01285-y
■ 参考文献
1)Yamauchi T., et al., Classification of the tongue microbiota and its associations with lifestyle factors and health status, NPJ Biofilms Microbiomes., 2026; 10.1038/s41522-026-00936-6
■ 注の解説
*1 弘前大学COI-NEXT拠点
弘前大学では、2022年10月に文部科学省・国立研究開発法人科学技術振興機構(JST)「共創の場形成支援プログラム(COI-NEXT)」に採択されました。弘前大学COI-NEXT拠点では、健康を基軸に、若者が地域で働きたいと思える成長産業として魅力的なヘルスケア産業を創出することによって、地域の人々を健康にしながら経済発展し、全世代の人々が生きがいをもって働き続けることができ、心身共にQOLの高い状態での健康寿命を延伸する、well-beingな地域社会モデルの実現をめざしています。これまでの弘前大学COI拠点の成果を発展的に承継し、持続的に成果を創出する自立した産学官共創拠点の形成を目指すプロジェクトです。
*2 岩木健康増進プロジェクト
弘前大学が青森県弘前市岩木地区で2005年から継続実施している大規模合同健康調査で、約3,000項目という世界に例のない膨大な健診項目を設けることで、巨大な健康ビッグデータを記録しています。弘前大学では、2013年に文部科学省・JSTによる「センター・オブ・イノベーション(COI)プログラム」に採択され、岩木健康増進プロジェクト健診の超多項目健康ビッグデータの解析により、認知症・生活習慣病などの早期発見を可能にし、予防方法の創出と検証を行い、その成果を社会実装する研究活動を弘前大学COI拠点で展開しました。(2013~2022年)
*3 ベジチェック(R)
自身の皮膚に含まれるカロテノイド量、および推定野菜摂取量を約30秒で測定する機器です。センサーに手のひらを押し当てるだけで結果が分かります。※「ベジチェック(R)」は医療機器ではありません。表示値はあくまで目安となります。
*4 カロテノイド
野菜に多く含まれる色素成分です。抗酸化作用があり、各種健康状態との関連が報告されています。カロテノイドには数百種類の化合物が含まれますが、生体内では、ルテイン、ゼアキサンチン、β-クリプトキサンチン、α-カロテン、β-カロテン、リコピンの6種類が主に検出されます。
*5ベイジアンネットワーク解析
因果構造を推定する手法の一つです。ある変数が特定の条件下において、その他の変数がどの程度起こりうるか(条件付き確率)を基準として、変数間の因果関係を推定できます。ただし、本研究は観察研究のため、あくまで因果関係の「可能性」であり、断定はできない点に注意が必要です。
*6オッズ比
ある状態(ここでは歯周病)が「どれくらい起こりやすいか」を比で表した値です。1を基準として、値が大きいほど起こりやすいことを意味します。









